sábado, 29 de junio de 2013
Desafío - Logaritmos 2 (Resuelto)
Respuesta:
Fuente: Texto Autopreparación PSU Matemáticas - Edo.Cid Figueroa
NEM: Segundo Medio.
Eje Temático: I.) Números.
CMO: Losgaritmos. Ecuación Logarítmica.
Desafío - Logaritmos 1 (Resuelto)
Respuesta:
Fuente: Texto Autopreparación PSU Matemáticas - Edo.Cid Figueroa
NEM: Segundo Medio.
Eje Temático: I.) Números.
CMO: Logaritmos.
Desafío - Problema de Tiempos (Resuelto)
![]() |
| http://psu-matematicas.blogspot.com |
Respuesta: Por simple razonamiento.
Llamemos T al trabajo total.
En una hora, las tres máquinas realizarán T/2.
Como son tres las máquinas, en una hora, una de las máquinas hará: (1/3)(T/2) = T/6.
Dos máquinas harán: 2(T/6) = T/3
Entonces necesitan 3 horas, para hacer T. (3x(T/3)=T)
Alternativa D)
Fuente: Texto Autopreparación PSU Matemáticas - Edo.Cid Figueroa
NEM: Primero Medio.
Eje Temático: I.) Números.
CMO: Problema de planteamiento.
Etiquetas:
1ro. Medio,
Números,
Problema de Planteo,
Problema de Tiempos
Desafío - Geometría 2 (Resuelto)
Respuesta:
Fuente: Colegio Teresiano
NEM: Segundo Medio.
Eje Temático: III.) Geometría.
CMO: Teorema de Thales.
Desafío - Geometría 1 (Resuelto)
Respuesta:
Alternativa D)
Fuente:Preu.P.Valdivia.
NEM: Primero Medio.
Eje Temático: III.) Geometría.
CMO: Geometría Conceptos Básicos. Congruencia.
jueves, 27 de junio de 2013
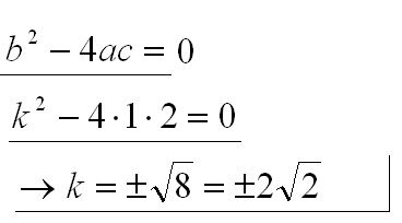
Desafío - Ecuación Cuadrática (Resuelto)
Respuesta:
Entonces el discriminante debe ser menor que cero:
entonces la correcta es la alternativa E)
Fuente: Variación personal de pregunta del Colegio Mayor
NEM: Tercero Medio.
Eje Temático: II.) Álgebra.
CMO: Ecuación Cuadrática. Cuadrática Incompleta.
Etiquetas:
3ro.Medio,
Análisis de Soluciones,
Discriminante,
Ecuación Segundo Grado
Desafío - Cuadrática (Resuelto)
Respuesta:
Alternativa D)
Fuente: Guía Colegio Mayor.
NEM: tercero Medio.
Eje Temático: II.) Álgebra.
CMO: Ecuación Cuadrática.
Etiquetas:
3ro.Medio,
Discriminante,
Ecuación Cuadrática,
Ecuación Parametrizada
miércoles, 26 de junio de 2013
Desafío - Cuadrática (Resuelto)
Respuesta:
Usamos la fórmula -para Cuadrática- en que se construyen los coeficientes de la cuadrática en función de las suma y el producto de las raíces:
Alternativa D)
Fuente: Variación personal de pregunta del Colegio MayorNEM: Tercero Medio.
Eje Temático: II.) Álgebra.
CMO: Ecuación Cuadrática. Cuadrática Incompleta.
martes, 25 de junio de 2013
Desafío - Cuadrática (Resuelto)
Encontrar el mayor cuociente de las raíces de una ecuación cuadrática cuyas raíces suman 18 y su producto sea 45.
A) 5
B) 1/5
C) 1/3
D) 3
E) No se puede encontrar.
Respuesta:
Alternativa A)
Fuente: Creación Personal.
NEM: Tercero Medio.
Eje Temático: II.) Álgebra.
CMO: Ecuación Cuadrática.
A) 5
B) 1/5
C) 1/3
D) 3
E) No se puede encontrar.
Respuesta:
Alternativa A)
Fuente: Creación Personal.
NEM: Tercero Medio.
Eje Temático: II.) Álgebra.
CMO: Ecuación Cuadrática.
lunes, 24 de junio de 2013
Desafío - Cuadrática Incompleta (Resuelto)
Respuesta:
La forma más rápida (versus ocupar la fórmula que nos da las raíces de una ecuación cuadrática) es fectorizar:
x(8x-7)=0
de ello emergen doas raíces, porque cuando un producto es igual a cero, para que ello ocurra, uno de los factores debe serlo, ello nos lleva a confrontar sea cero cada uno de ellos:
x=0, implica la primera raíz: x1=0
(8x-7)=0, implica la segunda raíz: 8x=7; x2= 7/8
Alternativa C)
Fuente: Colegio mayor
NEM: Tercero Medio.
Eje Temático: II.) Álgebra.
CMO: Ecuación Cuadrática. Cuadrática Incompleta.
Etiquetas:
3ro.Medio,
Álgebra,
Cuadrática,
Cuadrática Incompleta,
Factorizar
viernes, 21 de junio de 2013
Desafío - Números (Resuelto) .... un desafío de fin de semana ....
Respuesta:
Alternativa D)
Fuente: PreU.P.Valdivia
NEM: Primero Medio.
Eje Temático: II.) Álgebra.
CMO: Productos Notables.
martes, 18 de junio de 2013
Desafío - Probabilidad (Resuelto)
Respuesta: Veamos una a una las propuestas:
I) P(M) = 1/12, pues hay una M entre las 12 letras: Verdadera.
II) P(NO Vocal) = 7/12, pues hay 7 NO vocales = {D,P,R,T,M,N.T} de 12 letras: Verdadera.
III) P(A) = 2/12 que es igual a P(T)=2/12: Verdadera.
Alternativa E)
Fuente: DEMRE
NEM: Primero Medio.
Eje Temático: IV.) Datos y Azar.
CMO: Regla de Laplace.
Etiquetas:
1ro. Medio,
Datos y Azar,
Probabilidad,
Regla de Laplace
lunes, 17 de junio de 2013
Desafío - Probabilidad (Resuelto)
Respuesta: Veamos una a una las proposiciones ....
I) Son niños (15+20+18+12=65) de un total de 180: Verdadera.
II) Son estudiantes de tercero (18+27=45) de un total de 180: Verdadera.
III) Niña de segundo son 25 de un total de 180: Falsa.
Alternativa C)
Fuente: DEMRE
NEM: Primero Medio.
Eje Temático: IV.) Datos y Azar.
CMO: Ley de Laplace.
Etiquetas:
1ro. Medio,
Datos y Azar,
Interpretación Tabla,
Probabilidad,
Regla de Laplace
Desafío - Probabilidad (Resuelto)
En una caja hay 8 bolitas negras y 4 blancas, todas del mismo tipo. ¿Cuál es la menor cantidad de bolitas de cada color que se pueden eliminar de la caja, para que al sacar una bolita la probabilidad de que esta sea negra, sea 3/4?
A) 1 blanca y 0 negra.
B) 0 blanca y 1 negra.
C) 0 blncas y 5 negras.
D) 3 blancas y 5 negras.
E) 2 blncas y 2 negras.
Respuesta:
Para que la relación de probabilidad sean 3/4 y 1/4, la cantidad de negras bece ser 3 veces la cantidad de blancas. Esto sólo sucede en E) donde las negras serían: (8-2) = 6, y las blancas serían: (4-2) = 2 y SE CUMPLE QUE: 6 = 3x(2).
Fuente: DEMRE
NEM: Primero Medio.
Eje Temático: IV.) Datos y Azar.
CMO: Regla de Laplace.
A) 1 blanca y 0 negra.
B) 0 blanca y 1 negra.
C) 0 blncas y 5 negras.
D) 3 blancas y 5 negras.
E) 2 blncas y 2 negras.
Respuesta:
Para que la relación de probabilidad sean 3/4 y 1/4, la cantidad de negras bece ser 3 veces la cantidad de blancas. Esto sólo sucede en E) donde las negras serían: (8-2) = 6, y las blancas serían: (4-2) = 2 y SE CUMPLE QUE: 6 = 3x(2).
Fuente: DEMRE
NEM: Primero Medio.
Eje Temático: IV.) Datos y Azar.
CMO: Regla de Laplace.
Etiquetas:
1ro. Medio,
Datos y Azar,
Probabilidad,
Regla de Laplace
viernes, 14 de junio de 2013
Desafío - Probabilidad (Resuelto)
En una tómbola hay 11 pelotitas de igual tamaño y peso numeradas del 1 al 11. Las primeras 5 son rojas y las otras pelotitas restantes son negras. La probabilidad de que al sacar una pelotita al azar, ésta sea roja y par es:
A) ½ ; B) 2/5 ; C) 5/11 ; D) 2/11 ; E) 1/4
Respuesta: P(Sacar roja y par) = 2/11
Alternativa D)
Fuente: DEMRE NEM: Primero Medio.
Eje Temático: IV.) Datos y Azar.
CMO: Regla de Laplace. Experimentos sencillos.
A) ½ ; B) 2/5 ; C) 5/11 ; D) 2/11 ; E) 1/4
Respuesta: P(Sacar roja y par) = 2/11
Alternativa D)
Fuente: DEMRE NEM: Primero Medio.
Eje Temático: IV.) Datos y Azar.
CMO: Regla de Laplace. Experimentos sencillos.
Etiquetas:
1ro. Medio,
Datos y Azar,
Probabilidad,
Regla de Laplace
miércoles, 12 de junio de 2013
Desafío - DEMRE 2013 - 75 (Resuelto)
Respuesta:
ver respuesta a este ejercicio entregada antes: DEMRE 75 2013
Fuente: DEMRE 2013
NEM: Primero Medio.
Eje Temático: I.) Números.
CMO: Divisibilidad.
Etiquetas:
1ro. Medio,
Divisibilidad,
Números,
Suficiencia de Información
Desafío - Probabilidad (Resuelto)
En un pueblo hay 1.200 habitantes. Si la probabilidad de que un habitante sea una mujer es 1/3. ¿Cuántas mujeres hay en el pueblo?
A) 200
B) 300
C) 400
D) 600
E) 800
Respuesta:
Aplicando la relación entre probabilidad y frecuencia tenemos:
Alternativa C)
Fuente: DEMRE.
NEM: Primero Medio.
Eje Temático: IV.) Datos y Azar.
CMO: Probabilidad y Frecuencia Relativa.
A) 200
B) 300
C) 400
D) 600
E) 800
Respuesta:
Aplicando la relación entre probabilidad y frecuencia tenemos:
Alternativa C)
Fuente: DEMRE.
NEM: Primero Medio.
Eje Temático: IV.) Datos y Azar.
CMO: Probabilidad y Frecuencia Relativa.
Desafío - Probabilidad (Resuelto)
Se depositan en una caja tarjetas del mismo tipo con letras de la palabra HERMANITOS, luego se saca una tarjeta al azar, la probabilidad de que en ésta esté escrita una vocal es:
A) 1/10
B) 2/5
C) 1/5
D) ¼
E) 2/3
Respuesta:
Las vocales son {E, A, I, O} un total de 4,
de las 10 letras que hay ....
P(en la tarjeta haya una vocal) = 4/10 = 2/5
Alternativa B)
Fuente: DEMRE.
NEM: Primero Medio.
Eje Temático: IV.) Datos y Azar.
CMO: Regla de Laplace.
A) 1/10
B) 2/5
C) 1/5
D) ¼
E) 2/3
Respuesta:
Las vocales son {E, A, I, O} un total de 4,
de las 10 letras que hay ....
P(en la tarjeta haya una vocal) = 4/10 = 2/5
Alternativa B)
Fuente: DEMRE.
NEM: Primero Medio.
Eje Temático: IV.) Datos y Azar.
CMO: Regla de Laplace.
Etiquetas:
1ro. Medio,
Microsucesos Equiprobables,
Probabilidad,
Regla de Laplace
martes, 11 de junio de 2013
Desafío - Fracciones Continuas 3 (Resuelto)
Respuesta:
Alternativa C)
Fuente: DEMRE
NEM. Segundo Medio.
Eje Temático: I.) Números.
CMO: Fracciones Continuas.
Desafío - Fracciones Continuas 2 (Resuelto)
Respuesta:
Alternativa D)
Fuente: DEMRE
NEM. Segundo Medio.
Eje Temático: I.) Números.
CMO: Fracciones Continuas.
lunes, 10 de junio de 2013
Fecha de la PSU ....
Domingo 1 de Diciembre: Reconocimiento de Salas.
Lunes 2 de Diciembre: Pruebas de Lenguaje y Ciencias.
Martes 3 de Diciembre: Preubas de Matemáticas e Historia.
Lunes 2 de Diciembre: Pruebas de Lenguaje y Ciencias.
Martes 3 de Diciembre: Preubas de Matemáticas e Historia.
lunes, 3 de junio de 2013
Desafío - Funciones (Resuelto)
Respuesta:
Fuente: Texto de EDuardo Herrera Cid.
NEM: Segundo Medio.
Eje Temático: II.) Álgebra.
CMO: Funciones.
Etiquetas:
2do. Medio,
Evaluar una Función,
Funciones
Desafío - Funciones (Resuelto)
Respuesta:
Hacemos el algoritmo que nos da la inversa:
1) Cambiamos Y por X:
X = -Y+2
2) Despejamos Y
Y = -X + 2
Alternativa C)
Fuente: Texto de EDuardo Herrera Cid.
NEM: Segundo Medio.
Eje Temático: II.) Álgebra.
CMO: Funciones.
Etiquetas:
2do. Medio,
Funciones,
Inversa,
Inversa de una Función
Desafío - Funciones (Resuelto)
Respuesta: Lo achurado amarillo es un trapecio con dos bases que miden:
Base pequeña: f(-1) = -1 + 4 = 3
Base grande o larga: f(3) = 3+4 = 7
Altura Trapecio = 3 - (-1) = 4
Recordamos que el área de un trapecio es la semisuma de las bases por la altura ....
Area Trapecio= [(3+7)/2]x4 = 5x4 = 20
Alternativa E)
Fuente: Texto de EDuardo Herrera Cid.
NEM: Segundo Medio.
Eje Temático: II.) Álgebra.
CMO: Funciones.
Etiquetas:
2do. Medio,
Area,
Area de Trapecio,
Evaluar una Función,
Funciones
Desafío - Funciones (Resuelto)
Respuesta:
Si tenemos las raíces: x1= -1 y x2= 3
entonces sabemos que la cuadrática será:
(x-x1)(x-x2)= y= f(x)
(x+1)(x-3) = y = f(x)
Pero OJO que esta parábola no está .... pero si su simétrica respecto del eje OX ....
Y ella es la alternativa C)
veamos un grafo en Geogebra:
Fuente: Texto de EDuardo Herrera Cid.
NEM: Segundo Medio.
Eje Temático: II.) Álgebra.
CMO: Funciones.
Etiquetas:
2do. Medio,
Ceros Función Cuadrática,
Eje de Abcisas,
Funciones,
Parábola
Desafío - Funciones (Resuelto)
Con ambas juntas se puede resolver: Alternativa C)
Calculemnos con 1): f(4): f(4) = f(4-2) = f(2)
pero según 2) f(4) = 6, entonces f(2) = f(4) = 6
Fuente: Texto de Eduardo Herrera Cid.
NEM: Segundo Medio.
Eje Temático: II.) Álgebra.
CMO: Funciones.
Etiquetas:
2do. Medio,
Funciones,
Suficiencia de Información
Desafío - Funciones (Resuelto)
Respuesta:
En este caso: a= 1 ; b= -2 ; c= 3,
donde "a", "b" y "c" son los coeficientes de la ecuación cuadrática.
Luego, el vértice de la parábola se encuentra en:
Vértice = { -b/(2a) ; f (-b/(2a) }; calculemos:
-b/(2a) = 2/(2x1) = 1
f(1) = 1 - 2 + 3 = 2
Vértice = (1,2) ; Alternativa B)
Fuente: Texto de EDuardo Herrera Cid.
NEM: Segundo Medio.
Eje Temático: II.) Álgebra.
CMO: Funciones.
Etiquetas:
2do. Medio,
Función Cuadrática,
Funciones,
Vértice de Parábola
Desafío - Funciones (Resuelto)
Respuesta:
Fuente: Texto de EDuardo Herrera Cid.
NEM: Segundo Medio.
Eje Temático: II.) Álgebra.
CMO: Funciones.
Etiquetas:
2do. Medio,
Función Volumen,
Funciones,
Parábola,
Volumen
Desafío - Funciones (Resuelto)
Respuesta:
f(1) = (1)(1) - 4 = 1 - 4 = -3
f(-1) = (-1)(-1) - 4 = 1 - 4 = -3
Luego f(1) + f(-1) = -3 -3 = -6
Alternativa B)
Fuente: PreU.P.Valdivia.
NEM: Segundo Medio.
Eje Temático: II.) Álgebra.
CMO: Funciones.
Etiquetas:
2do. Medio,
Evaluar una Función,
Función Cuadrática,
Funciones
Desafío - Funciones (Resuelto)
Respuesta:
Despejamos el parámetro (n) en cada ecuación e igualamos:
De la primera:
A = 5 + 4n
4n = A - 5
De la segunda:
B=9-2n
2n = 9 - B
4n = 18-2B
18-2B=A-5
23 - A = 2B
B = (23-A)/2
Alternativa D)
Fuente: PreU.P.Valdivia.
NEM: Segundo Medio.
Eje Temático: II.) Álgebra.
CMO: Funciones.
Etiquetas:
2do. Medio,
Expresar una Variable en Función de otra,
Funciones
Desafío - Funciones: Recta y Parábola (Resuelto)
Respuesta:
Veamos primero la recta:
Como pasa por el origen, es de la forma: y=mx
(Directa Proporcionalidad, Función Lineal)
m = (Delta Y)/(Delta X) = 2/4 = 1/2
entonces es: y = x/2. Esto hace posibles a B); C) y E)
Veamos ahora la Parábola. Fíjese que también pasa por el Origen (0,0). Luego el Y-Intercepto es cero. Luego son posibles las altermnativas: A), B) y D) .... Intersectando ambos razonamientos, la alternativa correcta es la B)
Fuente: PreU.P.Valdivia.
NEM: Tercero Medio.
Eje Temático: II.) Álgebra.
CMO: Funciones.
Etiquetas:
2do. Medio,
Función Afín,
Función Cuadrática,
Funciones,
Gráfico de Funciones,
Parábola,
Recta
Desafío - Funciones (Resuelto)
Respuesta:
1) Del denominador vemos que x NO puede ser 2.
2) Por otra parte el argumento de la raíz nos dice que:
Luego, para conciliar con 1), lo que es lo mismo intersectar las condiciones de 1) y 2)
entonces, x debe ser mayor que 2, es decir pertenercer a lo que señala la alternativa A)
Fuente: PreU.P.Valdivia.
NEM: Segundo Medio.
Eje Temático: II.) Álgebra.
CMO: Funciones. Dominio de Función.
Suscribirse a:
Comentarios (Atom)















































