lunes, 27 de noviembre de 2023
lunes, 20 de noviembre de 2023
Desafío - Vectores - 3ro Medio - Resuelto
RESPUESTA:
(-2,5) + 2(3,-2)-(-1,-4)
(-2,5)+(6,-4)+(1,4)
(-2+6+1 , 5 -4 +4)
(5,5)
Alternativa B)
Fuente: PAES 2021
NEM: 3ro. Medio
Eje Temática: Geometría.
CMO: Vectores / Complejos, Escalar por Vector, Suma de Vectores
viernes, 10 de noviembre de 2023
Desafío - Porcentaje - 8avo Medio - Resuelto
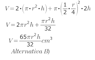
Respuesta:
Fuente: PAES INVIERNO
NEM: 8avo. Medio.
Eje Temático: Números y Proporcionalidad.
CMO: Porcentaje.
Desafío - Raíces - 2do. Medio - Resuelto
Respuesta:
Fuente: PAES Invierno
NEM: 2do. Medio
Eje Temático: Números
CMO: Raíces, Potencias, Evaluar una Expresión
Etiquetas:
2do Medio,
Evaluar una expresión,
Potencias,
Raíces
Desafío - Ecuaciones - 8avo. Medio - Resuelta
Respuesta:
Fuente: PAES Invierno
NEM: 8avo Medio.
Eje Temático: Álgebra y Funciones.
CMO: Ecuaciones lineales.
Desafío - Ecuación de la recta - 1ro. Medio - Resuelto
Respuesta:
Fuente: PAES Invierno
NEM: 1ro. Medio
Eje Temática: Álgebra y Funciones
CMO: Ecuación de la Recta.
Desafío - Cuadráticas - 2do. Medio - Resuelto
Respuesta:
alternativa B)
Fuente: PAES Invierno
NEM: 2do Medio
Eje Temático: Álgebra y Funciones
CMO: Evaluar una Función, Modelar, Función Cuadrática
Etiquetas:
2do. Medio,
Ecuación Cuadrática,
Función Cuadrática
jueves, 2 de noviembre de 2023
Desafío - Desviación Estándar - 3ro. Medio - Resuelto
Respuesta:
Fuente: PAES INVIERNO
NEM: tercero medio.
Eje Temático: Datos y Azar
CMO: Rango y Desviación Estándar.
Etiquetas:
3ro. Medio,
Desviación Estándar,
Media,
Varianza
Suscribirse a:
Comentarios (Atom)





















)))))).png)









