miércoles, 30 de octubre de 2013
Desafío - Logaritmo (Resuelto)
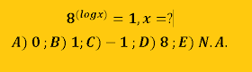
Respuesta:
Alternativa B)
Fuente: PCE-Roberto Quezada Aste.
NEM: Segundo Medio.
Eje Temático: II.) Álgebra.
CMO: Ecuación Exponencial, Logaritmos.
No hay comentarios:
Publicar un comentario
‹
›
Inicio
Ver versión web
No hay comentarios:
Publicar un comentario