lunes, 14 de noviembre de 2011
Desafío - Lenguaje Algebarico
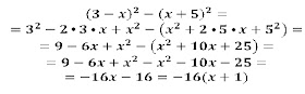
Respuesta:
Alternativa E)
Fuente: Ensayo Univ. Andrés Bello.
NEM: Primero Medio.
Eje Temático: II. Álgebra y Funciones.
CMO: Lenguaje Algebraico.
No hay comentarios:
Publicar un comentario
‹
›
Inicio
Ver versión web
No hay comentarios:
Publicar un comentario