martes, 13 de julio de 2010
Desafío - Logaritmos
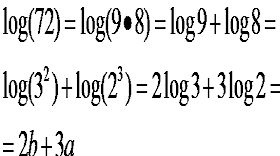
Si log 2 =
a
y log 3 =
b
, entonces log 72 en función de
a
y
b
es:
A) 2a + 3b
B) 3a + 2b
C) 15a + 14b
D) 36(a+b)
E) 12ab
Respuesta:
Alternativa B)
Fuente: PreU. P. de Valdivia.
NEM: Cuarto Medio.
Eje Temático: I. Álgebra y Funciones.
CMO: Logaritmos.
No hay comentarios:
Publicar un comentario
‹
›
Inicio
Ver versión web
No hay comentarios:
Publicar un comentario