martes, 31 de agosto de 2010

Desafío - Trigonometría


Respuesta:
Alternativa D)

Fuente: Texto 3ro. Medio - Santillana
NEM: Tercero Medio.
Eje Temático: II. Geometría.
CMO: Trigonometría.

Desafío - Trigonometría


En la figura, Trazo BD = 100 dm. Entonces trazo AC mide= ?

Respuesta:

En este caso la alternativa correcta es la C)

Fuente: Texto 3ro Medio - Santillana
NEM: tercero Medio.
Eje Temático: II. Geometría.
CMO: Trigonometría.

Desafío - Trigonometría

En la figura, el valor de x es:

A) 3 cos 20º
B) 3 tan 20º
C) 3/(sen 20º)
D) 3/(Cos 20º)
E) 3 sen 20º

Respuesta: sen (20º) = x/3, despejando:

x = 3 sen (20º) ; Alternativa E)

Fuente: Texto 3ro. Medio - Santillana
NEM: Tercero Medio.
Eje Temático: II. Geometría.
CMO: Trigonometría

Desafío - Trigonometría

¿ Cuál de los siguientes ángulos cumple con que la tangente da un valor negativo ?

A) 181º
B) 335º
C) 85º
D) 0,52º
E) 258º

Respuesta: En la circunferencia Goniométrica tenemos que los valores del

seno: corresponden a la ordenada.
coseno: corresponden a la abcisa.

Luego, ponemos la circunferencia goniométrica con los signos para el seno y el coseno y luego recordamos que tangente = (seno)/(coseno)

A) 181 º : Tercer cuadrante: Tg Positiva!
B) 335 º : Cuarto Cuadrante: Tg NEGATIVA !!!! Esta es la correcta!
C) 85 º : Primer Cuadrante: Tg Positiva
D) 0,52º : Primer Cuadrante: Tg Positiva.
E) 258 º : Tercer Cudrante: Tg Positiva.

Fuente: Texto 3ro. Medio - Santillana
NEM: tercero Medio.
Eje Temático: II. Geometría.
CMO: Trigonometría.


lunes, 30 de agosto de 2010

Desafío - Logaritmos


Respuesta: Que ab, la base sea mayor que uno, es una de las condiciones para los logaritmos, la base debe pertenecer a los Realez positivos, excluído el 1.

Aplicamos Logaritmo de una Potencia:


Fuente: recopilación A. Sánchez.
NEM: Cuarto Medio.
Eje Temático: I. Álgebra y Funciones.
CMO: Logaritmos.

Desafío - Ecuación Logarítmica

El(los) valor(es) de x en la siguiente ecuación es:

Respuesta:
Alternativa A)

Fuente: Manual Matemáticas - PSU - U.Católica.
NEM: Cuarto Medio.
Eje Temático: I. Álgebra y Funciones.
CMO: Logaritmos

Desafío - Logaritmos


¿Cuál de las siguientes expresiones es igual a la anterior?

A) Sólo I.
B) Sólo II.
C) I y II.
D) II y III.
E) I, II, III.

Respuesta:
Sólo I y II, Alternativa C)

Fuente: Manual Matemáticas PSU - U.Católica.
NEM: Cuarto Medio.
Eje Temático: I. Álgebra y Funciones.
CMO: Logaritmos.

A) (1/3){log(x) + log(y) -(log(z) + log(t))}
B) (1/3) log(x) + log(y) - (log(z) + log(t))
C) 3(log(x) + log(y) -log(z) -log(t))
D) (1/3)(log(x) + log(y) -log(z) + log(t))
E) (1/3)(log(x) -Log(y)+Log(z)-log(t))

Respuesta:
Fuente: Manual Matemáticas PSU - U.Vatólica
NEM: Cuarto Medio.
Eje Temático: I. Álgebra y Funciones.
CMO: Logaritmos

jueves, 26 de agosto de 2010

Desafío - Potencias

Respuesta: Siendo un entero, común exponente en ambas potencias, podemos expresar:
(Que el mexponente sea entero evita caer en el campo de lo números imaginarios)


Alternativa E)

Fuente: Recopilación A. Sánchez.
NEM: Primero Medio.
Eje Temático: II. Álgebra y Funciones.
CMO: Potencia de exponente enetro.

Desafío - Trigonometría


Si tg (alfa) = 3/4
Entonces, ¿ sen (alfa) + cos (alfa) = ?

A) 7
B) 7/5
C) 1
D) 0,5
E) No se puede determinar.

Respuesta:
Alternaytiva B)

Fuente: Recopilación A. Sánchez.
NEM: Tercero Medio.
Eje Temático: II. Geometría.
CMO: Trigonometría.

Desafío - Ecuación de la Recta


Respuesta: Según la ecuación por segmentos la recta es:

x/1 + y/1 = 1
x + y = 1
x + y - 1 = 0

Alternativa C)

Fuente: Recopilación A. Sánchez.
NEM: Segundo Medio.
Eje Temático: I. Álgebra y Funciones.
CMO: Ecuación de la Recta.

Desafío - Porcentaje

El 0,1 % de 100x es igual a 0,1. Entonces, el valor de x es:

A) 0,0001
B) 0,01
C) 1
D) 10
E) 100

Respuesta:

(0,1/100) 100x = 0,1
0,1 x = 0,1
x = 1

Alternativa C)

Fuente: Recopilación A. Sánchez.
NEM: Primero Medio.
Eje Temático: I. Números y Proporcionalidad.
CMO: Porcentaje.

miércoles, 25 de agosto de 2010

Desafío - Proyección de sombras.

Un edificio de 10 metros, proyecta una sombra de 16 metros. Entonces, ¿la sombra de un árbol de 2,5 metros mide?

A) 3 m.
B) 4 m.
C) 5 m.
D) 8 m.
E) 4,5 m.

Respuesta: Alternativa B), tras despejar x en la Proporción, multiplicando cruzado ....

Fuente: Faccímil Cecilia Roa M.
NEM: Segundo Medio.
Eje Temático: II. Geometría.
CMO: a. Semejanza de figuras planas.

Desafío - Perímetro


Tres listones de 14 cm. de largo por 4 cm. de ancho se han superpuesto de la manera como se indica en la figura. ¿ Cuál es el perímetro total ?

A) 64 cm.
B) 68 cm.
C) 84 cm.
D) 108 cm.
E) 76 cm.
Respuesta:
Alternativa C)

Fuente: Faccímil Cecilia Roa M.
NEM: Primero Medio.
Eje Temático: III. Geometría.
CMO: Geometría Básica. perímetro.

Desafío - Funciones

Si f(x) = 2x + 1; ¿El valor de f(4x+3) = ?

A) 8x + 4
B) 8x + 7
C) 8x + 4
D) 4x - 4
E) 8x - 7

Respuesta: f(4x+3) = 2(4x+3) + 1 = 8x + 6 + 1 = 8x + 7

Alternativa B)

Fuente: Faccímil de Cecilia Roa M.
NEM: Segundo Medio.
Eje Temático: I. Álgebra y Funciones.
CMO: Funciones.

Desafío - Geometría Analítica

En la ecuación de la recta: (2y - 7x + 3 = 0), la Pendiente está determinada por:

A) 7
B) -7
C) 7/2
D) 2/7
E) -3/2

Respuesta: Despejamos la variable dependiente "y" para poder tener m:

Recordamos que m (la pendiente) se tiene de: y = mx + n

2y - 7x + 3 = 0
2y = 7x - 3
y = (7/2)x - 3/2

La pendiente m = 7/2

Fuente: Faccímil Cecilia Roa M.
NEM: Segundo Medio.
Eje Temático: I. Álgebra y Funciones.
CMO: Ecuaciçon de la Recta.

martes, 24 de agosto de 2010

Desafío - Estadísticas

La media de los datos:
a, 3a, 6a, 7a y 2a
es:

A) a
B) 19a
C) 19/5
D) 19a/5
E) Otro valor.

Respuesta: MEDIA = (a+3a+6a+7a+2a)/5 = 19a/5 ; Alternativa D)

Fuente: CEPECH 2003
NEM: Cuarto Medio.
Eje Temático: III. Estadísticas y Probabilidad.
CMO: Estadígrafos.

Desafío - Estadísticas

¿Cuántos puntajes 600 hay en la muestra?

A) 4
B) 6
C) 8
D) 7
E) 2

Respuesta: Yo leo 7, Alternativa D)

Fuente: CEPECH 2003
NEM: Cuarto Medio.
Eje Temático: III. Estadísticas y Probabilidad.
CMO: Interpretación de Grafo.

Desafío - Estadísticas


La moda es:

A) 100
B) 700
C) 600
D) 500
E) 400

Respuesta: Se repite 9 veces el dato "500" puntos. Esa es la MODA!


Fuente: CEPECH 2003
NEM: Cuarto Medio.
Eje Temático: III. Estadísticas y Probabilidades.
CMO: Interpretación de grafos. Estadígrafos, Moda

Desafío - Estadíisticas


El número de datos de la muestra es:

A) 30
B) 29
C) 33
D) 32
E) 31

Respuesta: (2 + 2 + 3 + 7 + 9 + 7 + 2) = 32, Alternativa D)

Fuente: CEPECH 2003
NEM: Cuarto Medio.
Eje Temático: III. Probabilidad y Estadísticas.
CMO: Interpretación de grafos.

lunes, 23 de agosto de 2010

Desafío - Conjuntos Numéricos


Respuesta:
Alternativa C)

Fuente: Recopilación A. Sánchez.
NEM: Primero Medio.
Eje temático: I. Números y Proporcionalidad.
CMO: Conjuntos Numéricos.

Desafío - Números


Respuesta:

Dividimos 485 entre 45:


Alternativa A)

Fuente: Recopilación A. Sánchez.
NEM: primero Medio.
Eje Temático: I. Números y Proporcionalidad.
CMO: Números.

Desafío - Opuesto y Recíproco


Respuesta:
El opuesto de (-1/a) = 1/a
El Recíproco de (1/a) es a
Alternativa E)
Fuente: Compilación A. Sánchez.
NEM: Primero medio.
Eje Temático: I. Números y Proporcionalidad.
CMO: Números.

Desafío - Operatoria Numérica

Respuesta:


Alternativa C)

Fuente: Recopilación A. Sánchez.
NEM: Primero Medio.
Eje Temático: I. Números y Proporcionalidad.
CMO: Números.

jueves, 19 de agosto de 2010

Desafío - Trigonometría


Respuesta: Esta pregunta tiene "3" respuesta correctas: C) ; D) y E) son correctas.
Es por tanto una pregunta mal formulada!

Fuente: DEMRE.
NEM: Tercero Medio.
Eje Temático: II. Geometría.
CMO: Trigonometría.

Desafío - Trigonometría


Respuesta: Sen (alfa) = a/b ; Cos(alfa) = c/b

Sen (alfa) - Cos (alfa) = a/b - c/b = (a-c)/b : Alternativa A)

Fuente: DEMRE.
NEM: Tercero Medio.
Eje Temático: II. Geometría.
CMO: Trigonometría.

Desafío - Trigonometría


Respuesta:
Alternativa A)

Fuente: DEMRE.
NEM: Tercero Medio.
Eje Temático: II. Geometría.
CMO: Trigonometría.

Desafío - Trigonometría


Respuesta: El perímetro del triángulo es: (Trazo AC) + (Trazo AB) + (Trazo BC),
pero (Trazo BC) mide 1.

Perímetro: (Trazo AC) + (Trazo AB) + 1

Pero: (Trazo AC) = Cos (Gama) = Sen (Beta), pues la hipotenusa mide 1.
Pero: (Trazo AB) = Sen (Gama) = Cos (Beta), pues la Hipotenusa mide 1.

Revisando:

I) Sen (Gama) + Sen (Beta) + 1 = (Trazo AB) + (Trazo AC) + 1 : Verdadera.
II) Cos (Gama) + Cos (Beta) + 1 = (Trazo AC) + (Trazo AB) + 1 : Verdadera.
III) Sen (Beta) + Cos (Beta) + 1 = (Trazo AC) + (Trazo AB) + 1 : Verdadera.

I, II, III Verdaderas: Alternativa E)

Fuente: DEMRE.
NEM: Tercero Medio.
Eje Temático: II. Geometría.
CMO: Trigonometría.

Desafío - Estadísticas

Si se tabularan las frecuencias de las estaturas y color de ojos de los alumnos de un curso, ¿cuál de las opciones siguientes es siempre verdadera?

A) Con la moda de las estaturas se determina la estatura promedio del curso.
B) Con la mediana del color de ojos se determina el color de ojos que predomina.
C) Con el promedio de las estaturas se determina la estatura más frecuente.
D) Con la mediana de las estaturas se determina la estatura más frecuente.
E) Con la moda del color de ojos se determina el color de ojos que predomina.

Respuesta: La moda determina el color de ojos que predomina. El estadígrafo MODA justamente habla de eso, ver concepto en el LINK .... Alternativa E)

Fuente: DEMRE.
NEM: Cuarto Medio.
Eje Temático: III. Estadísticas y Probabilidad.
CMO: Estadígrafos.
==========
Link al Diccio-Mates
Concepto: Moda

Desafío - Estadísticas


Respuesta: Revisamos una a una las propuestas I), II) y III)

I) Grupo Fútbol: 12/30 = 2/5 = 0,4 = 40%
II) Grupo Basquetboll: 9/30 = 3/10 = 0,3 = 30%
III) Grupo Ni Futboll Ni Tenis: (9+6)/30 = 15/30 = 1/2 = 50%

Fuente: DEMRE.
NEM: Cuarto Medio.
Eje Temático: III. Estadísticas y Probabilidad.
CMO: Estadísticas.

Desafío - Estadísticas

Las fichas del peso de 10 niños, marcan en promedio 20 kg. En la oficina de control se pierde una ficha y se sabe que el promedio del resto es 19 kg,

¿cuál es el peso del niño al que le perdieron la ficha?

A) 39 kg
B) 29 kg
C) 21 kg
D) 20 kg
E) 19 kg

Respuesta: Pensemos, que el dato del(de la) niño(a) 10: x10, es el dato a buscar:

Alternativa B)

Fuente: DEMRE
NEM: Cuarto Medio.
Eje Temático: III. Estadísticas y Probabilidad.
CMO: Estadísticas.

Desafío - Estadísticas


Respuesta: Revisamos una a una las alternativas:

I) El dato que más se repite (60 veces) es el 17. VERDADERA.

II) La Mediana es 17 .... el promedio:

(15x50 + 16x40 + 17x60 + 18x50 + 19x20)/220 = 16,77 aprox. VERDERA

III) Tienen 17 o 18 años = (60 + 50) educandos, el 50% de los educandos, la mitad. VERDADERA.

I, II y III son verdaderas, Alternativa E)

Fuente: DEMRE.
NEM: Cuarto Medio.
Eje Temático: III. Estadísticas y Probabilidad.
CMO: Estadísticas. Estadígrafos.

miércoles, 18 de agosto de 2010

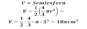
Desafío - Volumen


Respuesta:

Fuente: DEMRE.
NEM: Cuarto Medio.
Eje Temático: II. Geometría.
CMO: Geometría Espacial.

Desafío - Volumen


En un motor la relación entre el volumen V del cilindro, el diámetro D del pistón y la longitud L del desplazamiento de ese pistón es como se describe en la fórmula de arriba.

Si el diámetro es 10 cm y la longitud del desplazamiento también es 10 cm, ¿cuál es el volumen
del cilindro?

A) 7.900 cm3
B) 790 cm3
C) 79 cm3
D) 7,9 cm3
E) 0,79 cm3

Respuesta:
Alternativa B)

Fuente: DEMRE.
NEM: Cuarto Medio.
Eje Temático: II. Geometría.
CMO: Geometría Espacial.

Desafío - Volumen


Respuesta:
Alternativa B)

Fuente: DEMRE.
NEM: Cuarto Medio.
Eje Temático: II. Geometría.
CMO: Geometría Espacial.

Desafío - Volumen


Respuesta: El volumen generado es el de una semiesfera de radio = 10
Alternativa E)

Fuente: DEMRE.
NEM: Cuarto Medio.
Eje Temático: II. Geometría.
CMO: Geometría Espacial.